Pine Mountain Settlement School Collections
Biography Series 09
Counselor, Teacher 1942 – 1945
Counselor, Teacher, Principal 1947 – 1949
ADMINISTRATIVE STAFF
Director 1949 – 1973
BURTON ROGERS MEMORIAL AND FUNERAL
GALLERY
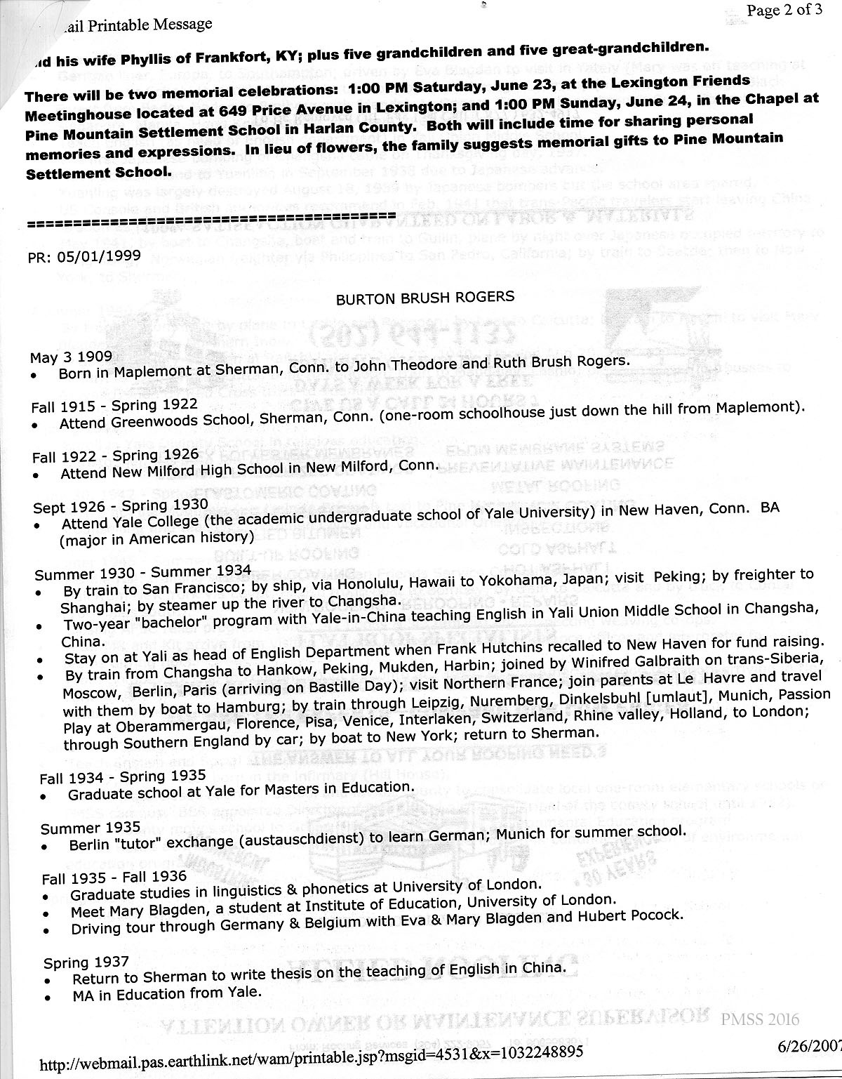
- Burton Rogers. Funeral. Biographical outline.
- Burton Rogers. Funeral.
- Burton Rogers. Funeral.
- Burton Rogers. Funeral.
- Burton Rogers. Funeral.
- Burton Rogers. Funeral.
- Burton Rogers. Funeral.
- Burton Rogers. Funeral.
- Burton Rogers. Funeral.
- Burton Rogers. Funeral.
- Burton Rogers. Funeral.
- Burton Rogers. Funeral.
- Burton Rogers. Funeral.
SEE:
BURTON ROGERS MEMORIAL AND FUNERAL













